Análisis de los comportamientos motrices de jugadores profesionales costarricenses de fútbol en partidos amistosos en pretemporada

Analysis of motor behaviors of professional Costa Rica soccer players in friendly matches in pre-season

Zúñiga-Morales Carlos1
Ugalde-Ramírez Alexis2
Gutiérrez- Vargas Randall2
Rojas-Valverde Daniel2,3

1Programa de Doctorado en Actividad Física y Deporte, Universidad Europea de Madrid, España.

2Centro de Investigación y Diagnóstico en Salud y Deporte (CIDISAD), Escuela Ciencias del Movimiento Humano y Calidad de Vida, Universidad Nacional, Heredia, Costa Rica.

3Grupo de Avances en el Entrenamiento Deportivo y Acondicionamiento Físico (GAEDAF), Facultad Ciencias del Deporte, Universidad de Extremadura, Cáceres, España.

Resumen

Objetivos: a) determinar por medio de un Análisis de Componentes Principales (PCA) los comportamientos motrices que mejor explican el rendimiento físico en partidos amistosos durante pretemporada, y b) comparar estos comportamientos entre los partidos jugados.

Metología: Participaron 20 jugadores profesionales masculinos (edad: 25.8 ±5.0 años, experiencia jugando fútbol: 11.8 ±1.7 años) pertenecientes a un club de 1ª división de la Liga de Fútbol Profesional Costarricense. Se utilizó un Sistema Global de Posicionamiento (GPS) para cuantificar los comportamientos motrices en cinco partidos amistosos realizados durante una pretemporada previo al inicio del campeonato oficial. Se aplicó un PCA a las variables y un análisis de varianza de medidas repetidas.

Resultados: Se identificaron tres componentes que explicaban 82.4% de la varianza total: 1) volumen de carga (36.7%), 2) acciones de alta intensidad (27.2%) y 3) cambios de dirección (18.5%). Se encontraron diferencias significativas en la distancia total (F= 3.45, p= 0.012, ωp²= 0.3) y aceleraciones totales (F= 18.77, p< 0.01, ωp²= 0.76) entre los partidos disputados. No hubo diferencias en la velocidad máxima, carga corporal, impactos totales y la distancia sprint.

Conclusiones: La carga corporal, impactos totales, distancia total, distancia a velocidad de sprint, velocidad máxima y aceleraciones explicaron mejor el rendimiento físico de los equipos en partidos de pretemporada. Entre los cinco partidos se presentaron variaciones en la distancia total y las aceleraciones. La monitorización de partidos de pretemporada proporciona información que puede ayudar a la planificación de los entrenamientos.

Palabras clave: fútbol, comportamientos motrices, GPS, pretemporada, Análisis de Componentes Principales.

Abstract

Objective: a) to determine, through a Principal Component Analysis (PCA), the motor behaviors that best explain physical performance in friendly matches during pre-season, and b) to compare these motor behaviors among the matches played.

Methodology: 20 professional male players (age 25.8 ±5.0 years, soccer playing experience: 11.8 ±1.7 years) from a club of the 1st division of the Costa Rican Professional Soccer League participated. A Global Positioning System (GPS) was used to quantify motor activities during five friendly matches during a pre-season prior to the start of the official championship. A PCA and a repeated measures analysis of variance were applied.

Results: three components were identified that explained 82.4% of the total variance: 1) volume of load (36.7%), 2) high-intensity actions (27.2%) and 3) changes of direction (18.5%). Significant differences were found in total distance (F= 3.45, p= 0.012, ωp²= 0.3) and in total accelerations (F= 18.77, p <0.01, ωp²= 0.76) among the matches played. There were no differences in maximal speed, body load, total impacts, and distance at sprint speed.

Conclusion: body load, total impacts, total distance, distance at sprint speed, maximal speed and accelerations better explained the physical performance of the teams in pre-season games. There were variations between the five matches in total distance and accelerations. Monitoring of matches during pre-season provide information that can help with training planning.

Keywords: Soccer, motor behaviors, GPS, pre-season, Principal Component Analysis.

Recibido: 02-08-2020

Aceptado: 20-10-2020


Correspondencia:


Alexis Ugalde- Ramírez,

E-mail: [email protected]

Introducción

La importancia de la evaluación y análisis de los comportamientos motrices en futbolistas han sido expuesta en estudios previos1,2. Comportamientos como las distancias recorridas, las velocidades, los sprints, aceleraciones y desaceleraciones han ayudado a entender la dinámica que envuelve al fútbol en la actualidad (ataque-defensa-ataque y defensa- ataque-defensa) y los cambios en los estilos de juego (pressing, juego elaborado, juego directo) por parte de los equipos. En este sentido, las demandas físicas y la intensidad a la que los jugadores realizan las diferentes acciones motrices han presentado variaciones a través de los años, lo cual, a su vez, provoca modificaciones en los esfuerzos fisiológico3,4. Esto también lleva a que cada día los procesos de preparación se estén actualizando y que se vuelvan más exigentes, y para ello, es importante que durante los periodos de preparación la carga externa e interna de los jugadores y del equipo sea monitoreada y controlada5,6.

En la actualidad, gracias a los avances tecnológicos, en el ámbito deportivo se cuenta con una gran cantidad de equipos que permiten el monitoreo y control de los esfuerzos físicos como lo es el caso de los Sistemas de Posicionamiento Global o como son comúnmente conocidos GPS7. Estos equipos permiten medir tanto los comportamientos motrices como las exigencias fisiológicas de los jugadores durante partidos y entrenamientos8, volviéndose estos dispositivos esenciales para la cuantificación de la carga externa e interna de los jugadores9,10,11.

Es conocido que los esfuerzos de los jugadores de fútbol combinan actividades de baja, mediana y alta intensidad12. Según Rivas- Borbón, Salas-Cabrera, & Chávez-Arce13 del tiempo total de un partido (90 minutos), aproximadamente el 60% un jugador realiza esfuerzos a baja intensidad, un 15% actividades de intensidad moderada y un 25% a intensidad alta. No obstante, el predomino de acciones a alta intensidad como los sprints, saltos, cambios de velocidad, regates, marcajes y desmarques14, durante las competiciones por parte de los equipos supone una influencia sobre el rendimiento en jugadas de defensa y ataque, así como en acciones que posibiliten anotaciones15,16.

En los procesos de preparación previos a las competiciones oficiales conocidos como pretemporada, en las cuales es muy común que los equipos de fútbol desarrollen partidos amistosos con el objetivo de exponer a los jugadores a las exigencias de la competición17,18, representa un escenario ideal para realizar la monitorización y cuantificación de cargas durante estos partidos, por lo que el uso de estos equipos tecnológicos durante sesiones de entrenamiento o partidos preparatorios proporcionan información valiosa a los cuerpos técnicos del estado o performance de los jugadores y equipos antes de competir oficialmente en sus ligas locales o torneos internacionales, información que puede llegar a ser de gran utilidad para optimizar los procesos de entrenamiento y de planificación buscando mejorar el desempeño físico y fisiológico de los jugadores y del equipo en general19,20.

Durante periodos de pretemporada de fútbol se han llevado a cabo investigaciones utilizando equipos de seguimiento (ej. GPS) para analizar los efectos de diferentes metodologías de entrenamiento21, para evaluar los comportamientos motrices de los jugadores y equipos durante partidos17,22 y para el control de cargas de trabajo y de estados de fatiga5. Referente a estos trabajos, durante partidos jugados en pretemporada por equipos profesionales holandeses y portugueses se reportan diferencias entre los partidos y entrenamientos en variables como la distancia total recorrida, en la cantidad de sprints y carga corporal, siendo estas mayores en los partidos23. En equipos élite alemanes, los jugadores reportan una distancia recorrida de 5137 ±356 m, así como un promedio de 16 ±2 y 15 ±2 segundos en aceleraciones ≥ 3 m/s-2 y desaceleraciones < 3 m/s-2 respectivamente durante 45 minutos en cinco partidos de pretemporada24. La velocidad máxima alcanzada en partidos amistosos de preparación ha sido reportada en 29.3 ±1.6 km/h en jugadores profesionales de equipos españoles25. Por su parte, en jugadores semiprofesionales masculinos españoles U20 se analizó la carga externa durante partidos de pretemporada, encontrando que los jugadores recorrieron una distancia total promedio por periodo de juego (45 min) de 4766.25 ±607.49 m, una distancia de 121.85 ±78.86 m a intensidad alta y 76.17 ±81.93 m a intensidad de sprint17.

En el contexto costarricense, únicamente se encontraron en la literatura científica estudios que reportan registros de los comportamientos motrices en entrenamientos26,27 y partidos amistosos juveniles con variaciones a las reglas de juego (regla 11)28; sin embargo, ninguno de estos estudios realizados en jugadores costarricenses ha expuesto ni analizado datos durante partidos de pretemporada. Por ello, ante la ausencia de literatura científica que aporte información referente a los esfuerzos físicos de los jugadores y equipos costarricenses en periodo de pretemporada, este estudio tiene por objetivos: determinar por medio de técnicas de reducción de datos como el Análisis de Componentes Principales, los comportamientos motrices que mejor explican el rendimiento físico de jugadores profesionales costarricenses en partidos amistosos durante pretemporada, y en segundo lugar, b) comparar estos comportamientos motrices entre los partidos jugados.

Metodología

Para la elaboración de este estudio se consideró un diseño descriptivo (comparativo)29 para analizar los comportamientos motrices de futbolistas costarricenses en partidos de pretemporada.

Participantes

Un total de 20 jugadores profesionales masculinos (edad 25.8 ±5.0 años, altura 174.8 ±5.2 cm, peso 74.9 ±5.0 kg; 16 ±0.8 porcentaje graso) pertenecientes a un club de1ª división de la Liga de Fútbol Profesional Costarricense participaron en este estudio. Todos ellos tenían una experiencia deportiva de 11.8 ±1.7 años. Estos jugadores entrenaban de 5 a 6 veces por semana, competían regularmente al menos una vez a la semana y tenían al menos un día de descanso. Todos los participantes firmaron un consentimiento informado apegado a las normas éticas de la Declaración de Helsinki.

Instrumentos

Caracterización de la muestra: Se obtuvo la altura mediante un tallímetro de pared (SECA, Hamburgo, Alemania) con una precisión de ±1 mm. Se realizó un análisis de bioimpendancia con una Tanita digital (Serie Elite BC554, Tanita-Ironman, Illinois, Estados Unidos) con sensibilidad de ±0.1 kg para la medición del peso corporal y porcentaje graso. Para esto el jugador se subía sobre la Tanita solamente con ropa interior. Todas las evaluaciones se realizaron previo al primer juego en las instalaciones del club y se aplicaron siguiendo protocolos especializados30.
Cuantificación de los comportamientos motrices: Se utilizó un Sistema Global de Posicionamiento (GPS) (SP PRO X II GPSports®, 15Hz, Canberra, Australia) conformado por diez dispositivos. Para ello, antes de iniciar cada partido dos personas preparaban los dispositivos que eran entregados a cada jugador (excepto porteros) antes de salir al campo. Los jugadores portaron el GPS en la espalda a la altura entre la T2 y T4 utilizando un chaleco de neopreno que se ajustaba a su cuerpo. Cada dispositivo comenzó a registrar datos justo cuando le fue entregado al jugador, no obstante, los datos utilizados para el análisis se consideraron desde el momento en que el árbitro dio el inicio del juego hasta que finalizó el primer tiempo. Para esto, se registró la hora exacta de inicio y final del primer tiempo. Posteriormente, los dispositivos fueron retirados a los jugadores y por medio del software Team AMS®, V2.5.4 (GPSports Camberra, Australia) se descargaron y se analizaron. La validez y fiabilidad de los dispositivos GPS de15 Hz ha sido demostradas previamente. Este equipo posee una alta correlación en pruebas de velocidad y sprint (r2= 0.87, p< 0.001; r2= 0.94, p< 0.001)31. Asimismo, la velocidad máxima acumulada y la máxima alcanzó un bajo coeficiente de variación CV= 1.7% y 1.2% respectivamente; a su vez, se reporta una confiabilidad aceptable a través de una prueba temporal (test, re-test, r= 0.75)32.

Comportamientos motrices

Un total de 12 comportamientos motrices fueron cuantificados de cada partido. Los mismos fueron: distancia total en metros (m), distancia recorrida según diferentes velocidades tomando en cuenta categorías previamente propuestas33: caminando y trotando (0-11 km/h), carrera a baja intensidad (11.1-14 km/h), carrera a moderada intensidad (14.1-19 km/h), carrera a alta intensidad (19.1-23 km/h) y desplazamientos a velocidad de sprint (>23 km/h), velocidad promedio y máxima en kilómetros por hora (km/h), carga corporal en unidades arbitrarias (UA), impactos en fuerzas g mayores a 5g y la cantidad de aceleraciones >1 m/s-2 y desaceleraciones <1 m/s-2 totales.

Descripción de la competición

En un periodo de 15 días se jugaron cinco partidos amistosos contra equipos pertenecientes a la primera y segunda división del fútbol profesional de Costa Rica, garantizando así un nivel de juego similar34. Los partidos se desarrollaron en un mismo campo y estuvieron separados entre sí por al menos 72 horas según lo establecido internacionalmente y fueron jugados en un horario similar (15:00-16:00 horas). Únicamente los primeros 45 minutos del juego fueron incluidos para el análisis, esto debido a las sustituciones de jugadores dentro de la dinámica grupal realizada en el segundo tiempo del partido por parte de los cuerpos técnicos. Con esto, se evitó que existieran características diferentes entre ambos periodos en cada partido analizado.

Análisis estadístico

Una vez los datos fueron tabulados, se les aplicó la prueba de normalidad de Kolmogorov- Smirnov (p> 0.05). Posterior a ello, se realizó un Análisis de Componentes Principales (PCA) siguiendo lo establecido en artículos previamente publicados35-37. El objetivo con este análisis fue identificar aquellas variables (en este caso, comportamientos motrices) que explican mejor la varianza de los datos, en particular, que representan una relevancia mayor en el rendimiento físico en los partidos35,36,40. Primeramente, se exploró una matriz de correlación entre las variables antes de ejecutar el PCA. Para la extracción de variables se consideró valores r > 0.7. Se excluyeron las variables con varianza= 0, y posteriormente se escalaron y centraron en puntajes Z. Los valores de Kaiser-Meyer-Olkin y la prueba de Esfericidad de Bartlett fueron significativos (KMO= 0.446, p <0.01) por lo que la realización del PCA fue viable. Los valores propios <1 se excluyeron de la extracción de componentes principales. Se utilizó una rotación ortogonal (método Varianza Máxima) para identificar la correlación de los componentes y garantizar que cada componente principal ofrezca información diferente. Para la elección de las variables que conformarían cada componente principal se consideró un valor de carga ≥ 0.6. La carga de factor más alta se extrajo cuando se encontró una carga cruzada entre componentes.

Una vez identificadas las variables, se realizó un análisis de varianza (ANOVA) de una vía de medidas repetidas para determinar diferencias en los comportamientos motrices entre los cinco partidos disputados. La cuantificación de la magnitud de las diferencias se realizó por medio de la omega parcial al cuadrado (ωp²)39. Cuando fue necesario, por medio de Post hoc de Bonferroni se establecieron las diferencias específicas entre los partidos. La significancia fue establecida previamente en p < 0.05. Los datos son presentados descriptivamente como promedios y sus respectivas desviaciones estándar. Los análisis inferenciales y descriptivos se realizaron en el Paquete Estadístico para las Ciencias Sociales (SPSS, Versión 23, Chicago, USA).

Resultados

La tabla 1, muestra los datos descriptivos de los 12 comportamientos motrices realizados en promedio por los futbolistas en cada uno de los cinco partidos disputados durante el primer tiempo del juego. Estas 12 variables fueron a las cuales se les aplicó el PCA, identificando tres componentes y seis comportamientos motrices que mejor explicaron el rendimiento físico.

La figura 1 muestra la rotación octagonal de los tres componentes, así como los comportamientos motrices que conforman cada uno. Por su parte, en la tabla 2, se muestra los resultados extraídos del análisis de componentes principales con cada uno de los comportamientos motrices que conforman cada componente y sus respectivos valores propios y varianza explicada. En este sentido, los tres componentes explican el 82% de la varianza total.

El componente 1 denominado volumen de carga, estuvo conformado por la cantidad de impactos, la carga corporal y la distancia total recorrida y explica un 36.17% de la varianza. El componente 2 nombrado acciones de alta intensidad estuvo asociado a la velocidad máxima y distancia en sprint explicando 27.22% de la varianza. El componente 3 que estuvo conformado por las aceleraciones totales mostró una varianza explicada de 18.51% y fue identificado como cambios de velocidad.

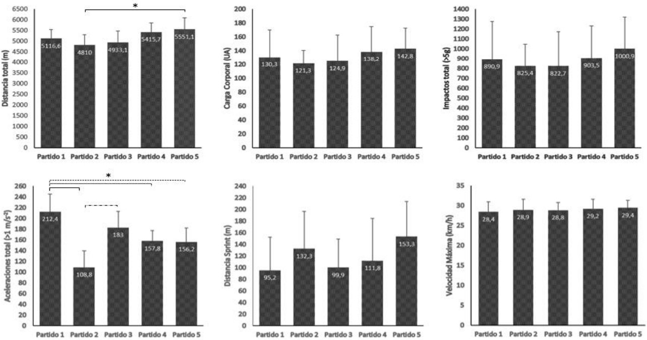
La figura 2 muestra la evolución de los comportamientos motrices a través de los cinco partidos amistosos jugados durante pretemporada. En esta figura, se pueden observar diferencias significativas en la distancia total (F= 3.458, p= 0.012, ωp²= 0.3) y aceleraciones totales (F= 18.775, p< 0.01, ωp²= 0.76).

La distancia total recorrida fue significativamente mayor en el partido número cinco con respecto al partido dos (p< 0.05). La cantidad de aceleraciones totales realizadas fueron significativamente más en el primer partido en comparación con los partidos tres, cuatro y cinco (p< 0.05). Por su parte, no hubo diferencias significativas en las variables de velocidad máxima (F= 0.471, p= 0.757), carga corporal (F= 1.175, p= 0.329), impactos totales (F= 805, p= 0.526) y distancia a velocidad de sprint (F= 2.475, p= 0.052).

Discusión

Este trabajo buscó proporcionar información científica referente a los comportamientos motrices realizados por jugadores profesionales costarricenses de fútbol en partidos amistosos durante una pretemporada. En relación con el primer objetivo de este trabajo, la identificación de los comportamientos motrices que mejor explicaron el rendimiento físico de los jugadores fue realizado por medio del análisis de componentes principales, el cual ha sido una técnica estadística aplicada en previos trabajos realizados en fútbol para identificar indicadores de rendimiento en competiciones europeas35,40.

En esta investigación, se encontraron tres componentes; los asociados a volumen de la carga que son la distancia recorrida, la carga corporal, y los impactos totales. El segundo componente estuvo relacionado a acciones de alta intensidad como lo son los metros recorridos a velocidad de sprint y la velocidad máxima alcanzada. Por último, el componente de cambios de dirección que incluyó las aceleraciones. Estos componentes y las variables que lo conforman son coincidentes con los mostrados en un trabajo previo35.

Tabla 1. Valores descriptivos de los partidos jugados en pretemporada.
Variables Partido 1
(X ±DE)
Partido 2
(X ±DE)
Partido 3
(X ±DE)
Partido 4
(X ±DE)
Partido 5
(X ±DE)
General
(X ±DE)
Distancia Total(m) 5116.6±423.6 4810±477.7 4933.1±529.3 5415.7±430.2 5551.1±531.6 5176.1±547.9
Distancia 0-11km/h(m) 3099.1±100.2 3015.2±196.6 2957.6±195.9 3276.1±118.8 3160.8±142.6 3105.9±185.6
Distancia 11.1-14km/h(m) 863.1±229.7 778.8±197.6 879.1±285.8 969±252 979.3±276.2 894.6±254.1
Distancia 14.1-19km/h(m) 810.6±226.5 647.9±204.8 776.6±179.6 821.9±216.4 934±270.2 798.79±238.1
Distancia 19.1-23 km/h(m) 248.5±93.6 235.8±63.4 229.9±44.8 236.8±81.6 323.6±98.5 257±86.1
Distancia Sprint(>23 km/h)(m) 95.2±56.8 132.3±64.3 99.9±49.1 111.8±72.5 153.3±60.5 119.8±63.8
Velocidad Promedio(km/h) 6.8±0.6 6.2±0.5 6.8±0.7 6.9±0.7 7±0.7 6.8±0.7
Velocidad Máxima(km/h) 28.4±2.5 28.9±2.7 28.8±1.9 29.2±2.4 29.4±1.9 29±2.3
Aceleraciones Totales(>1m/s2) 212.4±32.6 108.8±30.7 183±29.8 157.8±19.4 156.2±26 183±34.3
Desaceleraciones Totales(<1m/s-2) 222.6±41 226.3±46.5 155.9±30.1 90±14.93 93.3±13.2 155.9±66.9
Carga Corporal(UA) 130.3±39.5 121.3±19.1 124.9±37.4 138.2±36.4 142.8±29.8 131.8±33.1
Impactos Totales(>5g) 890.9±384.4 825.4±219 822.7±348.5 903.5±328.2 1000.9±319.5 892.5±321.8
Nota: (X ±DE) = promedio ±desviación estándar, m= metros, km/h= kilómetros por hora, m/s-2= metros por segundo, AU= unidades arbitrarias.

Asimismo, todos estos comportamientos físicos son parte de los que se han expuesto y discutido en la literatura científica como indicadores de rendimiento en el fútbol2,3,4,16.

La distancia recorrida es un indicador del volumen de trabajo de los jugadores y puede ayudar a explicar la demanda física que presentan32. Al analizar la distancia total recorrida y las distancias cubiertas a diferentes intensidades,las mismas son similares a las reportadas en partidos de pretemporada realizados por clubes europeos referentes a los 45 minutos de juego23-25. Asimismo, al compararlos con datos obtenidos en los primeros 45 minutos de partidos oficiales, este estudio arroja valores ligeramente inferiores a los reportados en competiciones de la UEFA (UEFA Cup)1, en campeonatos ingleses (Premier League)33 y a nivel juvenil (U21)41.

Figura 1. Gráfico de análisis de componentes principales (PCA) con rotación octagonal.
Tabla 2. Resultados del análisis de componentes principales (PCA) con sus respectivos valores propios y varianza explicada.
Estadística/Variables CP 1
Volumen de carga
CP 2
Acciones de alta intensidad
CP 3
Cambios de Velocidad
Valor propio 2.17 1.663 1.111
% varianza explicada 36.17 27.22 18.51
% varianza explicada acumulada 36.17 63.89 82.4
Carga Corporal (UA) 0.930 - -
Impactos totales (>5g) 0.918 - -
Distancia Total (m) -.891 - -
Distancia Sprint (m) - 0.872 -
Velocidad Máxima (km/h) - 0.855 -
Aceleraciones (>1 m/s-2) - - 0.867
Nota: CP= componente principal, m= metros, km/h= kilómetros por hora, m/s-2= metros por segundo, AU=unidades arbitrarias.
Figura 2. Evolución de los comportamientos motrices a través de los cinco partidos jugados como preparación para la fase competitiva. * diferencias significativas (p< 0.05) entre partidos. Las líneas horizontales sobre las barras verticales enlazan los partidos entre los que hubo diferencias.

La carga corporal y los impactos se asocian con un alto porcentaje de desplazamientos físicos realizados a altas velocidades. Los recorridos, cambios de dirección, los saltos, así como los contactos físicos con jugadores rivales en situaciones de enfrentamiento 1x1, en las disputas de balones y al momento de marcar provocan una alteración mecánica en el jugador, contribuyendo a que el futbolista aumente su desgate físico14. Durante un partido estas acciones son muy frecuentes, por lo cual, los jugadores acumulan carga corporal en el juego.

Los recorridos a alta intensidad reportados en este estudio concuerdan con las exigencias físicas que demanda el fútbol actualmente y que han sido reflejadas en trabajos anteriores13,15,24,34. Generalmente los recorridos mayores a 19 km/h y la velocidad máxima han mostrado tener relación con el rendimiento en competiciones élite15,16. En este sentido, se ha reportado que un mayor porcentaje de esfuerzos a alta intensidad se asocia con resultados más positivos como lo pueden ser ganar partidos, ganar campeonatos, o bien conseguir una mejor posición en el ranking13,15,16.

Las aceleraciones son acciones ligadas a los cambios de velocidad y cambios de dirección, las cuales son esenciales para la dinámica del fútbol actual, por lo que demanda a los jugadores realizar acciones de poca duración pero de mucha intensidad varias veces a lo largo del juego14,42. Sin embargo, las repetidas aceleraciones y desaceleraciones generan un gran desgaste físico en el jugador, por lo que es común que la frecuencia con la que se realizan en un partido o en un periodo del juego disminuya41, lo cual puede ser debido a un desgate mecánico o metabólico que desencadena la aparición de fatiga12,24,42.

Respecto al segundo objetivo, al comparar los comportamientos motrices entre los partidos jugados, se encontraron diferencias en la distancia total recorrida y en las aceleraciones totales. En este estudio, la distancia recorrida, según se observa en la figura 2, presenta diferencia entre el partido dos y cinco. Estos resultados han sido notorios en previos estudios. Por ejemplo, en partidos de pretemporada de un equipo de la 2ª división de la Liga de Fútbol Española, la distancia total recorrida de nueve partidos osciló entre 4578 a 5018 m, siendo esta mayor en el primer partido y disminuyendo en los siguientes juegos17. Mismo comportamiento de variación de la distancia recorrida total, y a diferentes velocidades observado en partidos desarrollados por equipos portugueses y holandeses en pretemporada23.

La cantidad de aceleraciones realizadas por los jugadores evaluados en este estudio se muestran superiores a los datos indicados a lo largo de nueve partidos de pretemporada en jugadores españoles U2017. Partidos en los cuales la cantidad de aceleraciones y desaceleraciones varió17, de igual forma como se detalla en la figura 2 en este trabajo. Al comparar los datos de este estudio con los reportados en partidos amistosos de equipos profesionales españoles, la cantidad aceleraciones es menor a la reportada en una previa investigación8. Por su parte, la cantidad realizada en el primer tiempo es menor a la cantidad reportada en equipos noruegos en partidos oficiales de la liga local42.

Las diferencias observadas entre los partidos pueden deberse al nivel del rival. A pesar de que en este estudio no se cuantificaron los esfuerzos del rival, si se ha expuesto que cuando los equipos oponentes tienen mayor nivel la distancia recorrida y los esfuerzos de alta intensidad son mayores22. Otros de los factores que pudo influir fue el estilo de juego de cada equipo al que se enfrentaron, demostrando esto concordancia con investigaciones previas que indican que los esfuerzos físicos de partidos oficiales y amistosos se ven influenciados por diversos factores situacionales y contextuales3,4,35.

En las demás variables que se extrajeron del PCA como lo fueron: impactos totales, carga corporal, velocidad máxima, distancia a velocidad de sprint, no se encontraron diferencias entre los partidos jugados en el periodo de pretemporada. No obstante, en la figura 2, la distancia recorrida a velocidad de sprint no difiere estadísticamente, aunque si se observa una diferencia descriptiva principalmente entre el primer (95.2 ±56.8) y equinto partido (153.3 ±60.5). Estos datos son mayores a los reportados en trabajos previos. Por ejemplo, la distancia recorrida a velocidad de sprint (>23 km/h) en equipos europeos fue de alrededor de 80 m por jugador23. Al compararlos con jugadores U21, éstos recorrieron menos de 80 m a intensidad de sprint17.

Los jugadores de este estudio mostraron una velocidad promedio y máxima alcanzada en carrera de 6.8 ±0.7 km/h y 29 ±2.3 km/h respectivamente, lo cual es ligeramente superior a lo reportado en estudios previos, en los cuales los jugadores presentaron una velocidad media entre y 6.3 km/h43 y una máxima de 28.3 ±2.5 km/h durante partidos amistosos de pretemporada8.

La carga corporal de los jugadores de este estudio fue en promedio de 131.8 ±33.1 UA y no difirió entre los cinco partidos jugados. En jugadores europeos se reporta una carga corporal de 9 ±1.2 UA por minuto de juego y registrando variaciones significativas entre los partidos25. Respeto a los impactos mayores a 5 g, en un estudio realizado con jugadores costarricense con una edad promedio de 17.8 ± 1.1 se reportó en 45 minutos un promedio de 897 ±298 impactos mayores a 5 g28, lo cual fue similar a los encontrado en este estudio con una cantidad de impactos promedio de 892.5 ±321.8.

Por último, en una visión general, los datos de estos partidos amistosos son coincidentes con los valores reportados en partidos oficiales en lo que respecta a lo realizado en los primeros periodos (45 min), por lo que la carga de trabajo y exigencia se mostraron muy similar a las exigencias de competiciones oficiales. Por ello, es fundamental monitorear los esfuerzos físicos para buscar que los jugadores lleguen con un adecuado rendimiento al inicio del campeonato19. Autores han expuesto que estas cargas de partidos deben de controlarse y manejarse de manera adecuada para evitar sobrecargas en los jugadores, puesto que también debe sumarse las cargas que representan los trabajos acumulados en las sesiones de entrenamiento5,35. También, es importante la consideración de métodos de recuperación entre partidos y la realización de ejercicios preventivos para evitar la aparición de lesiones. Por todo esto, los datos proporcionados por el seguimiento con los GPS en los partidos amistosos deben de ser considerados como insumo para planificar y diseñar entrenamientos19,20.

Limitaciones

En el presente trabajo algo que se identificó como una limitante fue el hecho de no haber monitoreado los comportamientos motrices de los equipos rivales, lo cual se dio por la cantidad de dispositivos GPS disponibles (10). Una comparación entre equipos hubiera aportado más datos para entender mejor los resultados y así tener una mejor perspectiva del nivel físico de los equipos de fútbol costarricense. La ausencia de datos fisiológicos como la frecuencia cardiaca promedio y máxima, así como lo porcentajes de tiempo que pasaban los jugadores en las diferentes zonas de esfuerzo fue otra limitante.

Conclusiones

El rendimiento físico en los partidos jugados en la pretemporada fue mayormente explicado por seis comportamientos motrices: la carga corporal, impactos totales, distancia total, distancia recorrida a velocidad de sprint, la velocidad máxima y las aceleraciones. Las acciones a alta intensidad se muestran fundamentales para el rendimiento físico en el fútbol. Es importante que los cuerpos técnicos preste atención al trabajo realizado para potenciar estos comportamientos durante los partidos.

Los comportamientos motrices como la distancia recorrida y la cantidad de aceleraciones presentaron variaciones significativas entre los partidos disputados. Los jugadores aumentan los esfuerzos físicos a medida que transcurren los partidos en una pretemporada, lo cual debe de ser tomado en cuenta al planificar las mismas. Los parámetros encontrados concuerdan con datos obtenidos en periodos de pretemporada en de diferentes equipos a nivel internacional.

La cuantificación y control de las cargas de trabajo en pretemporada utilizando GPS, brinda información relevante para la toma de decisiones al momento de planificar estos periodos en el fútbol.

Referências

  1. Andrzejewski M, Chmura J, Pluta B, Kasprzak, A. Analysis of motor activities of professional soccer players. J Strength Cond Res. 2012;26 (6):1481-8. doi: 10.1519/JSC.0b013e318231ab4c
  2. Sarmento H, Clemente F, Araújo D, Davids K, McRobert A, Figueiredo A. What Performance Analysts Need to Know about Research Trends in association football(2012–2016): A Systematic Review. Sports Med. 2018;48(4):799-836. doi: 10.1007/s40279-017-0836-6.
  3. Barnes C, Archer D, Hogg B, Bush M, Bradley, P. The Evolution of Physical and Technical Performance Parameters in the English Premier League. Int J Sports Med. 2014;35 (13):1095-100. doi: 10.1055/s-0034-1375695.
  4. Yi Q, Gómez MA, Wang L, Huang G, Zhang H, Liu H. Technical and physical match performance of teams in the 2018 FIFA World Cup: Effects of two different playing styles. J Sports Sci, 2019; 37:1-9. doi: 10.1080/02640414.2019.1648120.
  5. Buchheit M, Racinais S, Bilsborough JC, Bourdon PC, Voss SC, Hocking J, et al. Monitoring fitness, fatigue and running performance during a pre-season training camp in elite football players. J Sci Med Sport, 2013; 16(6):550-5. http://dx.doi.org/10.1016/j.jsams.2012.12.003.
  6. Hennessy L, Jeffreys I. The current use of GPS, its potential, and limitations in soccer. Strength Cond J. 2018; 40(3):83-94. doi: 10.1519/ssc.0000000000000386.
  7. Cummins C. Orr R. O’Connor H. West C. Global Positioning Systems (GPS) and Microtechnology Sensors in Team Sports: A Systematic Review. Sports Med. 2013; 43(10): 1025-42. https://doi.org/10.1007/s40279-013-0069-2.
  8. Mallo J, Mena E, Nevado F, Paredes V. Physical demands of top-class soccer friendly matches in relation to a playing position using global positioning system technology. J Hum Kinet. 2015, 47(1): 179-88. https://doi.org/10.1515/hukin-2015- 0073.
  9. Bradley P, Carling C, Archer D, Roberts J, Dodds A, Di Mascio, et al. The effect of playing formation on high-intensity running and technical profiles in English FA Premier League soccer matches. J Sports Sci. 2011;29(8): 821-30. doi: 10.1080/02640414.2011.561868.
  10. Carling C. Analysis of physical activity profiles when running with the ball in a professional soccer team. J Sports Sci. 2010; 28(3): 319-26. doi: 10.1080/02640410903473851.
  11. Gómez-Carmona CD, Bastida-Castillo A, Rojas-Valverde D, De la Cruz E, García J, Ibáñez S, Pino-Ortega J. Lower-Limb dynamics of muscle oxygen saturation during the back-squat exercise: effects of training load and effort level. J Strength Cond Res. 2020; 34(5): 1227-36. doi: 10.1519/JSC.0000000000003400.
  12. Stolen T, Chamari K, Castagna C, Wisloff V. Physiology of Soccer: an update. Sports Med. 2005;35(6):501-36. doi: 10.2165/00007256-200535060-00004.
  13. Rivas-Borbón M, Salas-Cabrera J, Chávez-Arce T. Comparación del rendimiento físico de las selecciones nacionales de Alemania y Costa Rica, de acuerdo con los parámetros de metros recorridos en alta, mediana y baja intensidad y su relación con la posición alcanzada en la copa mundial de fútbol de Brasil 2014. MHSalud: Revista en Ciencias Del Movimiento Humano y Salud. 2017;14(1): 1-13. https://doi.org/10.15359/mhs.14-1.3.
  14. Iaia FM, Rampinini E, Bangsbo J. High-intensity training in football. Int J Sport Physiol. 2009;4(3): 291-306. https://doi.org/10.1123/ijspp.4.3.291.
  15. Longo UG, Sofi F, Candela V, Dinu M, Cimmino M, Massaroni C, et al. Performance Activities and Match Outcomes of Professional Soccer Teams during the 2016/2017 Serie A Season. Medicina, 2019;55(8): 469. doi: 10.3390/medicina55080469.
  16. Ugalde-Ramírez JA, Rivas-Borbón M, Gutiérrez-Vargas R, Rojas-Valverde D, Sánchez-Ureña B. Influencia de los parámetros cinemáticos y técnicos realizados por los futbolistas según su posición de juego sobre el rendimiento deportivo en el mundial Brasil 2014. Revista Kronos: Actividad Física y Deporte. 2018: 17(2):1-10.
  17. Vargas A, Urkiza I, Gil S. Efecto de los partidos de pretemporada en la planificación deportiva: Variabilidad en las sesiones de entrenamiento. Retos. Nuevas Tendencias En Educación Física, Deporte y Recreación. 2015;27: 45-51.
  18. Rodríguez-Fernández A, Sánchez-Sánchez J, Villa-Vicente JG. Efectos de 2 tipos de entrenamiento interválico de alta intensidad en la habilidad para realizar esfuerzos máximos (RSA) durante una pretemporada de fútbol. Ciencia, Cultura y Deporte. 2014;10(9): 251-259.
  19. Johnston RD, Murray NB, Austin DJ. The influence of pre-season training loads on in-season match activities in professional Australian football players. Science and Medicine in Football. 2019;3(2): 143-9. https://doi.org/10.1080/24733938.2018.1501160.
  20. Wing C. Designing pre-season training programs using global positioning systems: A systematic approach. Strength Cond J. 2019;41(1): 27-38. doi: 10.1519/SSC.0000000000000406.
  21. Mujika I, Santisteban J, Castagna C. In-season effect of short-term sprint and power training programs on elite junior soccer players. J Strength Cond Res. 2009; 23(9): 2581-7. doi: 10.1519/JSC.0b013e3181bc1aac.
  22. Folgado H, Duarte R, Fernandes O, Sampaio J. Competing with lower level opponent’s decreases intra-team movement synchronization and time-motion demands during pre-season Soccer Matches. PLoS ONE. 2014;9(5), e97145. doi: 10.1371/journal.pone.0097145.
  23. Clemente FM, Seerden G, van der Linden CM. Quantifying the physical loading of five weeks of pre-season training in professional soccer teams from Dutch and Portuguese leagues. Physiol Behav. 2019;209, 112588.https://doi.org/10.1016/j.physbeh.2019.112588.
  24. Hoppe MW, Baumgart C, Slomka M, Polglaze T, Freiwald J. Variability of metabolic power data in elite soccer players during pre-season matches. J Hum Kinet. 2017; 58(1): 233-45. doi:10.1515/hukin-2017-0083.
  25. Campos-Vázquez M, Castellano J, Toscano-Bendala FJ, Owen A. Comparison of the physical and physiological demands of friendly matches and different types of preseason training sessions in profesional soccer players. RICYDE. Revista Internacional de Ciencias del Deporte. 2017; 58(15): 339-52. https://doi.org/10.5232/ricyde2019.05803.
  26. Ávalos-Guillén JC, Gutiérrez-Vargas R, Araya-Vargas G, Sánchez-Ureña B, Gutiérrez-Vargas, JC, Rojas-Valverde D. Effects of artificial turf and natural grass on physical and technical performance of professional soccer Players. MHSalud: Revista Movimiento Humano y Salud. 2017;14(1). http://dx.doi.org/10.15359/mhs.14-1.1.
  27. Rojas-Valverde D, Morera-Castro M, Montoya-Rodríguez J, Gutiérrez-Vargas R. Demandas cinemáticas en dos tipos de espacios reducidos en jugadores universitarios de fútbol de Costa Rica. Pensar en Movimiento: Revista de Ciencias del Ejercicio y la Salud, 2017;15(1):12-22. http://dx.doi.org/10.15517/pensarmov.v15i1.29640.
  28. Gutiérrez-Vargas R, Rojas-Valverde D, Jiménez-Madrigal E, Sánchez-Ureña B, Salas-Naranjo, A, Gutiérrez-Vargas JC, Salazar-Cruz I. Parámetros cinemáticos y técnicos en jugadores jóvenes de fútbol después de modificar la regla del fuera de juego (Regla 11). Revista Kronos: Actividad Física y Deporte, 2015;14(2).
  29. Ato M, López J, Benavente A. Un sistema de clasificación de los diseños de investigación en psicología. Anales de Psicología, 2013;29(3), 1038-59. http://dx.doi.org/10.6018/analesps.29.3.178511.
  30. Coburn, J. Malek, M. Manual NSCA: fundamentos del entrenamiento personal. Barcelona. Editorial Paidotribo; 2018.
  31. Barbero J, Barbero V, Gómez M, Castagna C. Análisis cinemático del perfil de actividad en jugadoras infantiles de fútbol mediante tecnología GPS. Revista Kronos: Actividad Física y Deporte, 2009;18(14):35-42.
  32. Johnston R, Watsford M, Kelly S, Matthew P, Spurrs R. The validity and reliability of 10Hz and 15hz GPs units for assessing athlete movement demands. J Strength Cond Res. 2014;28(6):1649-55. doi:10.1519/JSC.0000000000000323.
  33. Di Salvo V, Baron R, Tschan H, Calderon FJ, Bachl N, Pigozzi F. Performance characteristics according to playing position in elite soccer. Int J Sports Med. 2007;28(3), 222-7. doi:10.1055/s-2006-924294.
  34. Rampinini, E., Coutts, A. J., Castagna, C., Sassi, R., & Impellizzeri, F. M. (2007). Variation in top-level soccer match performance. Int J Sports Med. 2007; 28(12):1018-24. doi:10.1055/s-2007-965158.
  35. Oliva-Lozano J, Rojas-Valverde D, Gómez-Carmona CD, Fortes V, Pino-Ortega P. Impact of contextual variables on the representative external load profile of Spanish professional soccer match play: A Full Season Study. Eur J Sport Sci. 2020; (Ahead of Print). doi:10.1080/17461391.2020.1751305.
  36. Pino-Ortega J, Gómez-Carmona C, Nakamura F, Rojas-Valverde D. Setting kinematic parameters that explain youth basketball behavior: Influence of relative age effect according to playing position. J Strength Cond Res. 2020;(Ahead of print). doi:10.1519/JSC.0000000000003543.
  37. Rojas-Valverde D, Sánchez-Ureña B, Pino-Ortega J, Gómez-Carmona CD, Gutiérrez-Vargas R, Timón R, Olcina G. External Workload Indicators of Muscle and Kidney Mechanical Injury in Endurance Trail Running. Int J Env Res Pub He. 2019;16(3909). doi:10.3390/ijerph16203909.
  38. Rojas-Valverde D, Gómez-Carmona C, Fernández-Fernández J, García-López J, García-Tormo, V, Cabello-Manrique D, Pino-Ortega J. Identification of games and sex-related activity profile in junior international badminton. Int J Perf Anal Spor. 2020;20(3):223-38. doi:10.1080/24748668.2020.1745045.
  39. Cohen J. Statistical Power Analisis for the Behovioral Sciences. Hillsdole, NJ. Lawrence Erlbaum Associotes; 1988.
  40. Moura FA, Santana JE, Vieira NA, Santiago PRP, Cunha SA. Analysis of soccer players’ positional variability during the 2012 UEFA European Championship: A case study. J Hum Kinet. 2016;47(1):225-36. doi:10.1515/hukin-2015-0078
  41. Russell M, Sparkes W, Northeast J, Cook C, Love T, Bracken R Kilduff L. Changes in acceleration and deceleration capacity throughout professional soccer match-play. J Strength Cond Res. 2016;30(10):2839–44. https://doi.org/10.1519/JSC.0000000000000805.
  42. Dalen T, Jørgen I, Gertjan E, Havard H, Ulrik, W. Player load, acceleration, and deceleration during forty-five competitive matches of elite soccer. J Strength Cond Res. 2016; 30(2):351-9. doi:10.1519/JSC.0000000000001063.
  43. Vargas A, Urkiza I, Gil S. Variables predictoras de éxito en fútbol: análisis de los partidos de pretemporada mediante GPS. Revista de Preparación Física en el Fútbol, 2014; 11, 23-31.

Conflito de interesses: ninguno declarado pelos autores

Fuente de financiamento: ninguna declarada pelos autores