Fuerza muscular y salud ósea en jóvenes futbolistas según estado de madurez

Muscle strength and bone health in young soccer players according to maturity stage

Jorge Mendez-Cornejo1,
https://orcid.org/0000-0002-3925-170X
Fernando Alvear-Vasquez2,
https://orcid.org/0000-0002-9461-1384
Camilo Urra-Albornoz3,
https://orcid.org/0000-0002-5936-359X
Sebastián Vega Novoa4,
Javiera Cáceres Bahamonde4,
Rossana Gomez-Campos5
https://orcid.org/0000-0001-6509-5707

1Departamento de Ciencias de la Actividad Física, Universidad Católica del Maule, Talca, Chile.
2Universidad de Valencia, Valencia, España.
3Escuela de Kinesiología, Facultad de Salud. Universidad Santo Tomás, Chile
4Universidad Autónoma de Chile, Talca, Chile.
5Doctorado en ciencias de la actividad física, Universidad Católica del Maule, Talca, Chile.

Resumen

Objetivo: Comparar el desempeño de la fuerza muscular y salud ósea en jóvenes futbolistas según estado de madurez.

Metología: Se efectuó un estudio de tipo descriptivo-trasversal en 66 jóvenes futbolistas con un rango de edad de 14 a 20 años. Se midió el peso, la estatura de pie, estatura sentada, diámetros del fémur y longitud del antebrazo derecho. Se evaluó las pruebas de fuerza de prensión manual de ambas manos (FPM) y resistencia muscular abdominal (RMA). Los indicadores de salud ósea de densidad mineral ósea DMO y contenido mineral óseo (CMO) y el estado de madurez de los jóvenes fueron estimados por ecuaciones antropométricas no-invasivas.

Resultados: El promedio de edad fue de 16,6±1,53años. En la DMO y CMO hubo diferencias significativas entre todas las categorías del estado de madurez 0APVC, 1APVC, 2APVC y 3APVC (p<0.05). En la FPM (promedio de ambas manos) se observó diferencias significativas entre 0APVC con los demás niveles de estado de madurez (1APVC, 2APVC y 3 APVC) (p<0,05), sin embargo, no hubo diferencias significativas entre 1PAVC, 2APVC y 3APVC (p>0,05). En la prueba de RMA hubo significativas entre 0APVC con 1APVC, 2APVC y 3APVC, además, los jóvenes categorizados con 2APVC y 3PVC difieren con los categorizados con 1APVC (p<0,05). Las relaciones entre el estado de madurez con los indicadores de salud ósea (DMO y CMO) y fuerza muscular en el grupo de jóvenes púberes (0APVC) fueron inferiores a los de los jóvenes categorizados como pos púberes (+1APVC).

Conclusión: Los jóvenes categorizados como púberes (0APVC) presentaron menores valores de DMO, CMO y desempeño en las pruebas de fuerza muscular en relación a sus similares con estados de madurez más avanzados. Palabras clave: Fuerza muscular, salud ósea, jóvenes, futbol.

Palabras clave: Fuerza muscular, salud ósea, jóvenes, futbol.

Abstract

Objective: To compare the performance of muscular strength and bone health in young soccer players according to maturity stage.

Methodology: A descriptive-transversal study was carried out in 66 young soccer players with an age range of 14 to 20 years. Weight, standing height, sitting height, femur diameters and right forearm length were measured. Manual grip strength of both hands (MPF) and abdominal muscular endurance (AMR) tests were evaluated. Bone health indicators of bone mineral density (BMD) and bone mineral content (BMC) and maturity status of the young were estimated by non-invasive anthropometric equations.

Results: The mean age was 16.6±1.53 years. In BMD and BMC there were significant differences between all maturity status categories 0APVC, 1APVC, 2APVC and 3APVC (p<0.05). In FPM (average of both hands) there were significant differences between 0APVC with the other maturity status levels (1APVC, 2APVC and 3 APVC) (p<0.05), however, there were no significant differences between 1PAVC, 2APVC and 3APVC (p>0.05). In the RMA test there were significant between 0APVC with 1APVC, 2APVC and 3APVC, furthermore, youth categorized with 2APVC and 3PVC differed with those categorized with 1APVC (p<0.05). The relationships between maturity status with bone health indicators (BMD and BMC) and muscle strength in the pubescent youth group (0APVC) were lower than those of youth categorized as post-pubertal (+1APVC).

Conclusion: Young people categorized as pubertal (0APVC) presented lower values of BMD, BMC and performance in muscle strength tests in relation to their peers with more advanced maturity stages.

Keywords: Muscular strength, bone health, youth, soccer.

Recibido: 15-10-2021

Aceptado: 15-11-2021


Correspondencia:


Rossana Gomez

E-mail: [email protected]

Introducción

Durante la adolescencia la participación de los jóvenes en programas de ejercicio físico y deportivos son comunes1,2. De hecho, es ampliamente conocido que, durante la etapa de crecimiento y desarrollo, se acepta comúnmente que el ejercicio físico y el entrenamiento deportivo son factores importantes en la aceleración y mantenimiento de la densidad y contenido mineral ósea3, así como producir efectos positivos importantes en la salud esquelética y en el desempeño físico general4,5. En ese sentido, en jóvenes deportistas, el volumen del entrenamiento semanal podría ser beneficioso para la composición corporal (aumento de tejido blando magro) y la formación de los huesos en diferentes segmentos corporales6,7 sin embargo, estos efectos positivos podrían verse afectados debido a las diferencias en el estado de madurez entre los deportistas, pues la cronología en intensidad y duración a lo largo de la pubertad son específicos para cada adolescente y pueden variar considerablemente entre ellos4.

De hecho, varios estudios han demostrado que los jóvenes en etapas avanzadas de maduración biológica son capaces de realizar una mayor diversidad de tareas físicas y motoras8-9, consecuentemente esto conduce a que los entrenadores y buscadores de talentos deportivos a menudo prefieren jugadores de maduración temprana debido a un mejor nivel de rendimiento físico10 y de masa grasa y masa libre de grasa11 en relación a los jugadores con maduración tardía, que por lo general muestran niveles de rendimiento más bajos, especialmente en predictores fisiológicos y antropométricos12.

Por lo tanto, basados en que la masa muscular es la expresión de la fuerza muscular y está asociada al desarrollo óseo en niños y adolescentes13 este estudio se propuso como objetivo comparar el desempeño de la fuerza muscular y salud ósea en jóvenes futbolistas alineados según estado de madurez.

Metodología

Tipo de estudio y muestra

Se efectuó un estudio de tipo descriptivo-trasversal en 66 jóvenes futbolistas (2 arqueros, 23 defensas, 19 volantes y 22 delanteros). La selección de la muestra fue no-probabilística (accidental). El rango de edad oscila desde 14 a 20 años. El promedio de edad fue de 16,6±1,53años.

Los jóvenes futbolistas pertenecen a un club de fútbol profesional de la ciudad de Talca (Chile). Se incluyeron en el estudio a todos los jóvenes que asistían al entrenamiento durante 4 veces por semana y no presentaban lesiones físicas al momento de la evaluación. Se excluyeron a los jóvenes que tenían más de 20 años y a los que no completaron las medidas antropométricas y pruebas de aptitud muscular.

Los jóvenes mayores de 18 años formaron el consentimiento informado y los jóvenes con edades inferiores a 18 años firmaron el asentimiento y los padres de los mismos el consentimiento informado. El estudio se desarrolló de acuerdo a las pautas que se establecen en la declaración de Helsinki para seres humanos y al comité de ética local (UA, 2017).

Procedimientos

Las evaluaciones se efectuaron en setiembre del 2018 en un laboratorio con temperatura ambiente 22-24°C. Inicialmente se midió el perfil antropométrico, luego se evaluó las pruebas de fuerza muscular.

La edad decimal se calculó utilizando la fecha de nacimiento (día, mes, año) y la fecha de evaluación. Las mediciones antropométricas se realizaron siguiendo las recomendaciones de Ross & Marfell-Jones.14 Se midió el peso corporal (kg) usando una balanza electrónica (Tanita, Reino Unido) con escala de 0 a 150 kg con precisión de 100 g. La estatura se midió de pie con un estadiómetro portátil (Seca Gmbh & Co. KG, Hamburgo, Alemania) con precisión de 0.1 mm. La altura sentada (altura tronco-cefálica) fue medida usando un banco de madera con una altura de 50 cm, con una escala de medición de 0 a 150 cm y con una precisión de 1 mm. La longitud del antebrazo o la distancia entre los puntos radial y estiloide se midieron con un antropómetro Cescorf (Made in Brazil) con una escala de 0 a 60 cm con una precisión de 1 mm. El diámetro del fémur biepicondilar (cm) se midió con un antropómetro Cescorf (Made in Brazil) con una escala de 0 a 20 cm y una precisión de 1 mm.

El estado de madurez se estimó a partir de una ecuación antropométrica que predice los Años de Pico de velocidad de crecimiento APVC propuesta por Mirwald et al.15 Esta técnica indica el estado de madurez categorizando en niveles (donde -1APVC = Pre púber, 0APVC= Púber y >1APVC= Pos púber.

Los indicadores de salud ósea se estimaron por medio de una técnica antropométrica propuesta por Gómez-Campos et al.16 Las ecuaciones predicen la Densidad Mineral ósea DMO y el Contenido Mineral óseo CMO. Las ecuaciones desarrolladas para hombres son: DMO = 0.605+0.056* APVC + 0.008* Longitud Antebrazo + 0.022* Diámetro de la rodilla y para CMO= 0.043+0.18* APVC + 0.039* Longitud Antebrazo + 0.06* Diámetro de la rodilla.

Las pruebas de fuerza muscular fueron: Fuerza de prensión manual (FPM) y resistencia muscular abdominal (RMA). Antes de evaluar las dos pruebas físicas, todos los jóvenes efectuaron ejercicios de calentamiento entre 10 a 15min en un gimnasio cerrado. Se evaluó en el siguiente orden:

La fuerza de prensión manual (FPM) se evaluó en ambas manos (derecha e izquierda) de acuerdo a las recomendaciones descritas por Roberts et al.17 Se utilizó un dinamómetro manual hidráulico JAMAR (modelo J00105 Lafayette Instrument Company. USA. Capacidad de 90 kg y peso de 727 g), cuya precisión fue de 0,1 kg-f, Se evaluó dos veces y se registró el mejor resultado. Para fines estadísticos se sumó ambas FPM y se sacó el promedio de un sólo valor de FPM.

Resistencia muscular abdominal (RMA) se evaluó siguiendo las sugerencias de Soares & Sessa18. El sujeto se ubica en posición decúbito dorsal (echado) sobre una colchoneta con las manos cruzadas en el pecho y las rodillas flexionadas. Un compañero sujeta las rodillas y los pies. Se contabiliza el número de repeticiones durante 60segundos. Se utilizó un cronómetro Casio para registrar el tiempo con una precisión de (1/100seg.). Se evaluó dos veces, y se registró el mejor resultado.

Estatística

Para contrastar la normalidad de los datos se utilizó la prueba de Shapiro-Wilk. Posteriormente, los datos fueron analizados a partir de estadígrafos descriptivos de media aritmética, desviación estándar e intervalos de confianza. El coeficiente de correlación Pearson se utilizó para relacionar los indicadores de salud ósea con las pruebas de fuerza muscular. Las comparaciones entre estados de madurez se efectuaron por medio de Anova de una vía y la prueba de Tukey. Se conformaron dos grupos según estado de madurez (0APVC como púberes y 1APVC + 2APVC + 3APV como pos púberes). En todos los casos se adoptó una probabilidad de p<0,05. El análisis estadístico se efectuó en SPSS v.23.0.

Resultados

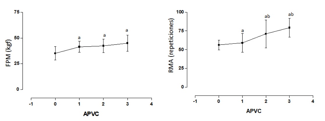
Las características antropométricas, salud ósea y pruebas de fuerza muscular de los jóvenes futbolistas estudiados se observa en la tabla 1. Las comparaciones de la salud ósea y de aptitud muscular por APVC se pueden observar en la figura 1. En la DMO y CMO hubo diferencias significativas entre todas las categorías del estado de madurez 0APVC, 1APVC, 2APVC y 3APVC (p<0.05). En las pruebas de FPM (promedio de ambas manos) se observó diferencias significativas entre 0APVC con los demás niveles de estado de madurez (1APVC, 2APVC y 3 APVC) (p<0,05), sin embargo, no hubo diferencias significativas entre 1PAVC, 2APVC y 3APVC (p>0,05). En la prueba de RMA hubo diferencias significativas entre 0APVC con 1APVC, 2APVC y 3APVC, además, los jóvenes categorizados con 2APVC y 3PVC difieren con los categorizados con 1APVC (p<0,05).

Tabla 1. Perfil antropométrico, salud ósea y fuerza muscular de la muestra estudiada.
Leyenda: X: Promedio, DE: Desviación estándar, APVC: Años de pico de velocidad de crecimiento, DMO: densidad mineral ósea, CMO: Contenido mineral óseo, FPM: Fuerza de prensión manual (Σ de derecha + izquierda), RMA: Resistencia muscular abdominal.
Figura 1. Comparación de la salud ósea y del desempeño físico de jóvenes futbolistas por estado de madurez (a: diferencia significativa en relación a 0APVC, b: Diferencia significativa en relación a 1APVC y c: Diferencia significativa en relación a 2APVC).
Tabla 2. Relación entre estado de madurez con indicadores de salud ósea y pruebas de fuerza muscular.
Leyenda: APVC: Años de pico de velocidad de crecimiento, DMO: densidad mineral ósea, CMO: Contenido mineral óseo, FPM: Fuerza de prensión manual (Σ de derecha + izquierda), RMA: Resistencia muscular abdominal.

Las relaciones entre los indicadores de salud ósea (DMO y CMO) con las pruebas de aptitud muscular (FPM y RMA) se observan en la tabla 2. El análisis de correlación lineal simple demostró relaciones positivas entre los indicadores de salud ósea con las pruebas de aptitud muscular. Las correlaciones en el grupo de jóvenes categorizados con +1APVC (denominados pos-púberes) reflejaron asociaciones más fuertes, tanto para los indicadores de salud ósea (r=0.94 a 0.96, p<0.001), como para la FPM (r= 0,24, p<0,001) y RMA (r= 0,28, p<0,05). Por el contrario, las asociaciones en el grupo de jóvenes categorizados como 0APVC (denominados púberes) evidenciaron relaciones más bajas, por ejemplo, para los indicadores de salud ósea oscilaron (r= 0,81-0,82, p<0,001), para la FPM (r=0,22, p<0,05) y para la RMA (r= 0.10, p>0.05).

Discusión

El estudio verificó que los jóvenes categorizados como púberes (0APVC) presentaron un desempeño disminuido en la FPM y RMA y valores inferiores de salud ósea (DMO y CMO) en relación a sus similares con un estado de madurez más avanzado (1APVC, 2APVC y 3APVC).

Estos hallazgos, son consistentes con varios estudios que se han efectuado en jóvenes futbolistas4,9,19, los que han destacado esencialmente el control de la maduración biológica durante la adolescencia, pues han resaltado que son amplias las diferencias entre jóvenes categorizados como pre púberes, púberes y pos-púberes, respectivamente.

Es importante señalar que los jóvenes que tienen una misma edad cronológica pueden demostrar una marcada variación en el estado de madurez, por lo que algunos individuos maduran mucho antes o más tarde que sus compañeros de la misma edad4, lo que puede traer consigo algunas ventajas especialmente con quienes maduran precozmente.

En ese sentido, los jóvenes futbolistas de este estudio categorizados como pos-púberes han evidenciado asociaciones más fuertes con los indicadores de salud ósea y fuerza muscular que los jóvenes categorizados como pre-púberes. Estos hallazgos evidencian que tanto, la fuerza muscular, como la DMO y CMO aumentan en conjunto a medida que los jóvenes futbolistas pasan de un estado de madurez a otro.

Estos resultados son consistentes con varios estudios realizados en jóvenes atletas en general, en el que han demostrado ampliamente que los jóvenes con maduración precoz dentro de un mismo grupo de edad, experimentan cambios físicos, psicológicos y biológicos tempranamente, por lo que suelen ser más altos, más pesados, más rápidos, más fuertes que sus compañeros que maduran más tarde.20-22

De hecho, estos hallazgos confirman que los profesionales que trabajan con jóvenes futbolistas deben tomar en cuenta las diferencias individuales en la maduración biológica entre los jóvenes, sobre todo al retener y/o liberar a los jugadores de sus clubes19, puesto que en el proceso de identificación y desarrollo de los futbolistas pueden perder jugadores talentosos, especialmente aquellos jugadores que maduran tardíamente y probablemente sean pasados por alto o excluidos de sus clubes al no considerar evaluaciones de maduración biológica.

En ese contexto, con el propósito de controla tales diferencias de maduración entre jugadores de fútbol, varios clubes de fútbol profesional y órganos rectores de la Liga Premier han invertido en el desarrollo y formación de atletas a largo plazo23. Se espera a corto plazo disminuir los sesgos en la identificación de talentos y optimizar la eficiencia competitiva y monitorear con éxito los regímenes de entrenamiento de los jóvenes futbolistas11.

El estudio muestra algunas fortalezas, especialmente con el control del estado de madurez, puesto que se utilizó una técnica no-invasiva para estimar los APVC y la salud ósea de jóvenes futbolistas y es uno de los primeros estudios que se efectuó en chile, cuyos resultados pueden servir para alertar a los profesionales sobre la necesidad de un control exhaustivo de la maduración biológica durante la adolescencia. Por otro lado, es necesario resaltar algunas limitaciones que tienen que ver con el escaso número de sujetos estudiados para determinar las comparaciones y asociaciones, así como, el diseño transversal impide analizar relaciones de causa-efecto, por lo que futuros estudios deben ampliar la muestra, el rango de edad y considerar en sus diseños, estudios longitudinales.

En conclusión, los jóvenes categorizados como púberes (0APVC) presentaron menores valores de DMO, CMO y desempeño en las pruebas de fuerza muscular en relación a sus similares con estados de madurez más avanzados. Estos resultados sugieren el control del estado de madurez entre los adolescentes futbolistas es fundamental.

Referências

  1. Tenforde AS, Fredericson M. Influence of sports participation on bone health in the young athlete: a review of the literature. PM R. 2011;3(9):861-7. doi: 10.1016/j.pmrj.2011.05.019.
  2. Christofaro DG, Fernandes RA, Martins C, Ronque ER, Coelho-e-Silva MJ, Silva AM, Sardinha LB, Cyrino ES. Prevalence of physical activity through the practice of sports among adolescents from Portuguese speaking countries. Cien Saude Colet. 2015 Apr;20(4):1199-206. doi: 10.1590/1413-81232015204.00692014.
  3. Uzunca K, Birtane M, Durmus-Altun G, Ustun F. High bone mineral density in loaded skeletal regions of former professional football (soccer) players: what is the effect of time after active career? Br J Sports Med. 2005; 39(3):154-7. doi: 10.1136/bjsm.2003.011494.
  4. Malina RM, Bouchard C, Bar-Or O. Growth, maturation, and physical activity. Human kinetics; 2004.
  5. Rizzoli R, Bianchi ML, Garabédian M, McKay HA, Moreno LA. Maximizing bone mineral mass gain during growth for the prevention of fractures in the adolescents and the elderly. Bone. 2010; 46(2):294-305. doi: 10.1016/j.bone.2009.10.005.
  6. Quiterio AL, Carnero EA, Silva AM, Baptista F, Sardinha LB. Weekly training hours are associated with molecular and cellular body composition levels in adolescent athletes. J Sports Med Phys Fitness. 2009; 49(1):54-63.
  7. 7. Ducher G, Daly RM, Bass SL. Effects of repetitive loading on bone mass and geometry in young male tennis players: a quantitative study using MRI. J Bone Miner Res. 2009; 24(10):1686-92. doi: 10.1359/jbmr.090415.
  8. Deprez D, Coutts AJ, Fransen J, Deconinck F, Lenoir M, Vaeyens R, Philippaerts R. Relative age, biological maturation and anaerobic characteristics in elite youth soccer players. Int J Sports Med. 2013;34(10):897-903. doi: 10.1055/s-0032-1333262.Hirose N. Relationships among birth-month distribution, skeletal age and anthropometric characteristics in adolescent elite soccer players. J Sports Sci. 2009; 27(11):1159-66. doi: 10.1080/02640410903225145.
  9. Carrasco López S, Gómez-Campos R, Méndez Cornejo J, Morales L, Urra-Albornoz C, Cossio-Bolañosb M. Physical growth in young Chilean football players: Proposal of percentiles based on chronological and biological age. Arch Argent Pediatr. 2018; 116(4):e508-e514. doi: 10.5546/aap.2018.eng.e508.
  10. Unnithan V, White J, Georgiou A, Iga J, Drust B. Talent identification in youth soccer. J Sports Sci. 2012;30(15):1719-26. doi: 10.1080/02640414.2012.731515.
  11. Carrasco-López S, Gomez-Campos R, Arruda MD, Sulla-Torres J, Portella DL, Urzua-Alul LA, Cossio-Bolaños M. Reference values of the body composition of young Chilean soccer player. Revista Brasileira de Medicina do Esporte. 2021;14;27:161-4. DOI: 10.1590/1517-869220212702188714.
  12. Cumming SP, Lloyd RS, Oliver JL, Eisenmann JC, Malina RM. Bio-banding in sport: applications to competition, talent identification, and strength and conditioning of youth athletes. Strength & Conditioning Journal. 2017;39(2):34-47. doi: 10.1519/SSC.0000000000000281.
  13. Torres-Costoso A, López-Muñoz P, Martínez-Vizcaíno V, Álvarez-Bueno C, Cavero-Redondo I. Association Between Muscular Strength and Bone Health from Children to Young Adults: A Systematic Review and Meta-analysis. Sports Med. 2020;50(6):1163-1190. doi: 10.1007/s40279-020-01267-y.
  14. Ross WD. Kinanthropometry. Physiological testing of the high-performance athlete. (1991).
  15. Mirwald RL, Baxter-Jones AD, Bailey DA, Beunen GP. An assessment of maturity from anthropometric measurements. Med Sci Sports Exerc. 2002; 34(4):689-94. doi: 10.1097/00005768-200204000-00020.
  16. Gómez-Campos R, Andruske CL, Arruda M, Urra Albornoz C, Cossio-Bolaños M. Proposed equations and reference values for calculating bone health in children and adolescent based on age and sex. PLoS One. 2017;12(7):e0181918. doi: 10.1371/journal.pone.0181918.
  17. Roberts HC, Denison HJ, Martin HJ, Patel HP, Syddall H, Cooper C, Sayer AA. A review of the measurement of grip strength in clinical and epidemiological studies: towards a standardised approach. Age Ageing. 2011;40(4):423-9. doi: 10.1093/ageing/afr051.
  18. Soares V, Sessa M. Medidas de força muscular. En: Matsudo VKR. Testes de ciência do esporte. 2da Ed. São Caetano do Sul: CELAFISCS. 1983: 57-68.
  19. Leyhr D, Bergmann F, Schreiner R, Mann D, Dugandzic D, Höner O. Sesgos relativos relacionados con la edad en las evaluaciones objetivas y subjetivas del rendimiento en jóvenes futbolistas talentosos. Fronteras en los deportes y la vida activa, 2021;3:664231. https://doi.org/10.3389/fspor.2021.664231.
  20. Figueiredo AJ, Gonçalves CE, Coelho e Silva MJ, Malina RM. Characteristics of youth soccer players who drop out, persist or move up. Journal of sports sciences. 2009; 27(9):883-91. doi: 10.1080/02640410902946469.
  21. Johnson A, Farooq A, Whiteley R. Skeletal maturation status is more strongly associated with academy selection than birth quarter. Science and Medicine in Football. 2017;1(2):157-63.
  22. Malina RM, Rogol AD, Cumming SP, Coelho e Silva MJ, Figueiredo AJ. Biological maturation of youth athletes: assessment and implications. Br J Sports Med. 2015;49(13):852-9. doi: 10.1136/bjsports-2015-094623.
  23. Premier League. The elite player performance plan (EPPP). Available at: https://www.goalreports.com/EPLPlan.pdf. [accessed 06.04.2020].

Conflitos de interés: Los autores declaran no tener conflictos de interés.

Fuente de financiamento: Ninguna